Fuvest encerra 2ª fase com matemática complexa e prova analítica de humanas

Apesar de abordar temas clássicos, a prova de matemática do terceiro e último dia da 2ª fase da Fuvest trouxe para os candidatos questões muito complexas, segundo a avaliação de professores ouvidos pelo UOL.
Os alunos fizeram hoje 12 questões de matérias específicas, de acordo com a carreira desejada. Os professores foram unânimes ao dizer que todas as provas aplicadas hoje foram mais difíceis do que as aplicadas na 2ª fase do ano passado. Mas, para eles, o desafio foi ainda maior para os candidatos que tiveram de fazer as questões de exatas.
“Foi uma prova difícil, que demonstrou que a Fuvest 2018 realmente buscou elevar o nível, com o intuito de selecionar alunos muito bem preparados. Aluno sem preparo técnico não faria a prova de hoje, porque todas as matérias estavam difíceis”, disse o coordenador do Curso Anglo, Daniel Perry.
“Você olha as questões de matemática e vai ver que são temas clássicos, mas tente fazer a questão. É de extrema dificuldade a resolução”, disse Vera Lúcia da Costa Antunes, coordenadora do Curso Objetivo.
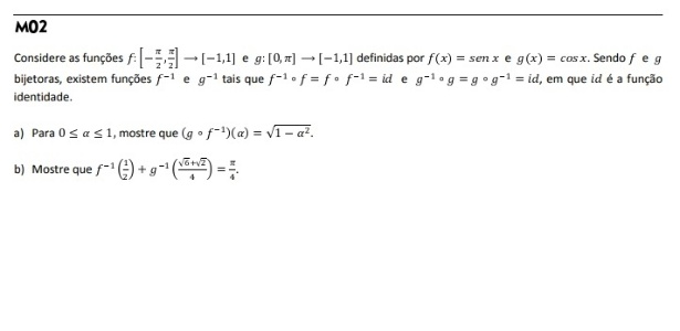
“A prova de matemática foi mais exigente para os alunos, tanto em relação a conceitos como em relação a contas”, disse Vinicius de Carvalho Haidar, coordenador do Poliedro. Ele classificou a questão 2, que abordou função composta, função inversa e função trigonométrica, como “bem exigente”.
“Não é um assunto tão comum”, concordou Perry, que classificou a prova de matemática como “técnica” e “conteudista”.
Os professores destacaram ainda a dificuldade da prova de física, que para eles trouxe enunciados longos, com quatro itens a serem resolvidos pelos candidatos em cada uma das questões.
“Todas as 4 questões tinham 4 itens para serem respondidos, normalmente isso não acontece. Deixou a prova mais longa”, pontuou o professor Haidar.
“Isso deixa o aluno muito cansado, e ele acaba não sendo tão produtivo”, explicou a professora Vera.
As provas de química e biologia, por outro lado, não surpreenderam os professores. Considerada por todos como a mais fácil do dia de hoje, a prova de biologia trouxe, por exemplo, questões de genética e fisiologia animal.
Já a prova de química cobrou dos candidatos conhecimentos de química orgânica, eletroquímica e titulação.
História e geografia ‘atuais’
Tão exigentes quanto as provas de exatas, as questões de história e geografia cobraram dos candidatos muito conhecimento sobre temas atuais, além de boa capacidade de argumentação e análise crítica, segundo os professores.
“Acabou aquela história do aluno decorar as informações. Hoje, você tem que saber usar o conhecimento e fazer análises”, disse a professora Vera.
Para ela, a questão 1, que falava da Coreia do Norte, foi exemplo disso. “O aluno tem que ter argumentos do porquê ela ser, hoje, uma ameaça global. Não é simplesmente citar algumas coisas. Tem que colocar argumentos, comparando, analisando”, pontuou.
Temas como Império Inca e Império Asteca, despotismo esclarecido, migração nordestina e imperialismo inglês foram abordados na prova de história. Já as questões de geografia trataram, além da questão da Coreia do Norte, de Olimpíadas no Rio de Janeiro, produção de energia solar e lei de terras.
O professor de história Fernando Rodrigues, do Cursinho da Poli, elogiou as temáticas abordadas na área de humanas.
“Foi [uma prova] política no sentido de estimular o debate na cabeça do candidato. Não é uma prova de cartilha. Ela cobrou conhecimento sobre questões políticas, mas não necessariamente enviesando para um lado ou outro”, afirmou.
A primeira lista de aprovados da Fuvest 2018 será divulgada no dia 2 de fevereiro.











ID: {{comments.info.id}}
URL: {{comments.info.url}}
Ocorreu um erro ao carregar os comentários.
Por favor, tente novamente mais tarde.
{{comments.total}} Comentário
{{comments.total}} Comentários
Seja o primeiro a comentar
Essa discussão está encerrada
Não é possivel enviar novos comentários.
Essa área é exclusiva para você, assinante, ler e comentar.
Só assinantes do UOL podem comentar
Ainda não é assinante? Assine já.
Se você já é assinante do UOL, faça seu login.
O autor da mensagem, e não o UOL, é o responsável pelo comentário. Reserve um tempo para ler as Regras de Uso para comentários.